Recent Images


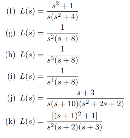
Sketch The Root Locus With Respect To K For The Equation

Control Tutorials For Matlab And Simulink Introduction
Control Tutorials For Matlab And Simulink Introduction

Simple Answers To Usual Questions About Unusual Forms Of The
Simple Answers To Usual Questions About Unusual Forms Of The

58 Rhp And Zeros Sketch The Root Locus With Resp
58 Rhp And Zeros Sketch The Root Locus With Resp

58 Rhp And Zeros Sketch The Root Locus With Resp

Root Locus
Root Locus

Root Locus Wikipedia
Root Locus Wikipedia

Sketch The Root Locus With Respect To K For The E Cheggcom
Sketch The Root Locus With Respect To K For The E Cheggcom

Ppt On Root Locus Control Engineering Powerpoint Slides
Ppt On Root Locus Control Engineering Powerpoint Slides

Appendix F Properties And Construction Of The Root Loci
Appendix F Properties And Construction Of The Root Loci

Control Systemsroot Locus Wikibooks Open Books For An
Control Systemsroot Locus Wikibooks Open Books For An

Simple Answers To Usual Questions About Unusual Forms Of The
Simple Answers To Usual Questions About Unusual Forms Of The

Root Locus Design Matlab Simulink
Root Locus Design Matlab Simulink

Sketch The Root Locus For K 0 In The Equation 1kls0
Sketch The Root Locus For K 0 In The Equation 1kls0

Construction Of Root Locus Tutorialspoint
Construction Of Root Locus Tutorialspoint

Root Locus Design Matlab Simulink
Root Locus Design Matlab Simulink

Construction Of Root Locus Tutorialspoint
Construction Of Root Locus Tutorialspoint

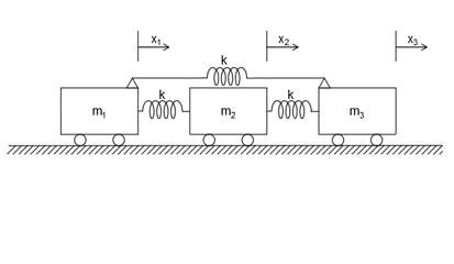
Control Tutorials For Matlab And Simulink Motor Position
Control Tutorials For Matlab And Simulink Motor Position

Solved 1 Sketch The Root Locus With Respect To K For Th
Solved 1 Sketch The Root Locus With Respect To K For Th

Lecture 1 Design Via Root Locus
Lecture 1 Design Via Root Locus

Root Locus Plot An Overview Sciencedirect Topics
Root Locus Plot An Overview Sciencedirect Topics

Root Locus Wikipedia
Root Locus Wikipedia

Answered Sketch The Root Locus For The Following Bartleby
Answered Sketch The Root Locus For The Following Bartleby

How To Draw Root Locus Of A System With Pictures Wikihow
How To Draw Root Locus Of A System With Pictures Wikihow